Giải pháp S2 POLAR theo tiêu chuẩn ASTM D4294
S2 POLAR là XRF hãng Bruker phù hợp tiêu chuẩn ASTM D4294. Hôm nay, hãy cũng Việt Nguyễn tìm hiểu về nhóm giải pháp này.
1- Giới thiệu
Lưu huỳnh trong nhiên liệu ô tô được quy định rất nghiêm ngặt. Giới hạn S hiện tại là 10 ppm ở nhiều quốc gia, và các quốc gia khác sẽ áp dụng sớm. Và loại bỏ S ở các giai đoạn lọc dầu khác nhau yêu cầu các quy trình tốn kém, đặc biệt nhóm lưu huỳnh cực thấp (ULS) trong dầu diesel và xăng. Ngoài kiểm soát S, quá trình giám sát các nguyên tố khác cũng quan trọng. Như Cl để giảm tác động ăn mòn, Phosphor trong dầu thô và sản phẩm chưng cất trung gian, … Và Quang phổ huỳnh quang tia X hãng Bruker – S2 POLAR là giải pháp lý tưởng. Vì S2 POLAR là hệ thống phân tích đa nguyên tố kim loại, dễ sử dụng và chuẩn bị mẫu đơn giản.
Ngoài ASTM D4294, S2 POLAR còn tuân thủ các tiêu chuẩn quốc tế khác như:
- ASTM D7220, D4294
- ISO 13032, 20847, 8754
- IP 336, 496, 532
- JIS K2541-4
2- Giải pháp ASTM D4294
Phép phân tích Lưu huỳnh trong dầu mỏ, sản phẩm dầu mỏ thường thực hiện theo tiêu chuẩn quốc tế. Tiêu chuẩn phổ biến là ASTM D4294, bao gồm xác định phạm vi S từ 16 ppm đến 5% nhiên liệu ô tô, dầu diesel sinh học, … S2 POLAR đáp ứng các yêu cầu này.
3- Thiết bị S2 POLAR và Chuẩn bị mẫu
3.1- Thiết bị S2 POLAR

Hình 1: Quang phổ XRF S2 POLAR cho phân tích ASTM D4294
Máy EDXRF S2 POLAR với hệ tia phân cực HighSense được tối ưu hóa cho ứng dụng hóa dầu. Hệ thống nhỏ gọn với ống phát Anode Pd, cùng đầu dò Silion HighSense ULS, giúp tiết kiệm không gian phòng thí nghiệm mà vẫn đáp ứng phân tích. Giao diện màn hình TouchControl đa ngôn ngữ, dễ sử dụng, có sẵn các gói ứng dụng ASTM D4249 đã được hiệu chuẩn tại Nhà máy.
3.2- Chuẩn bị mẫu
Bộ phụ kiện chuẩn bị mẫu theo Hãng Bruker (K410C215) gồm các công cụ cần thiết để chuẩn bị. Có cốc mẫu OD 40 mm, cốc Samplecare OD 51 mm (cả 2 cốc đều được đính màng phim Prolene)

Hình 2: Cốc mẫu (bên trái) và cốc SampleCare (bên phải) cho phép đo
- Hút mẫu (khoảng 7g) cho vào cốc mẫu OD 40mm
- Đặt vào cốc SampleCare OD 51 mm
- Đặt cốc SampleCare vào buồng mẫu
- Bắt đầu đo
3.3- Thông số phép đo
| Nguyên tố | Vôn thế [kV] | Dòng [mA] | Thời gian đo [s] |
| Lưu huỳnh (S) | 25 | 1.7 | 300 |
Môi trường vận hành: Heli (giảm áp suất)
4- Kết quả phân tích từ S2 POLAR
ASTM D4294 có 3 dải nồng độ, gồm 0 – 1000 ppm S | 0.1 – 1% S | 1 – 5% S
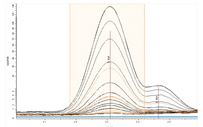
Bộ dung dịch Bruker Ready-to-Analyze theo ASTM 4294 MO là gói ứng dụng được hiệu chuẩn tại nhà máy, đã qua kiểm định theo nền dầu khoáng. Với tùy chọn “Automatic Line Switch” của phần mềm S2 POLAR SPECTRA.ELEMENTS cho phép bao phủ toàn bộ phạm vi hiệu chuẩn của ASTM D4924-16 yêu cầu trong 1 lần hiệu chuẩn. Đường cong hiệu chuẩn cho các dải nồng độ thấp hơn được hiển thị trong Hình 3, và các tín hiệu lưu huỳnh chồng lên nhau trong dải hiệu chuẩn này được hiển thị trong Hình 4.
![]() | ![]() |
| Hình 3: Đường cong hiệu chuẩn cho lưu huỳnh trong dầu khoáng ở dải nồng độ thấp hơn, từ 0 đến 1000 ppm S | Hình 4: Tín hiệu Lưu huỳnh chồng lấp nhau trong dầu khoáng ở nồng độ từ 0 đến 1000 ppm S. Phạm vi tích phân được hiển thị màu cam |
Bảng 1 hiển thị dữ liệu kết quả của 10 phép đo khác nhau trong cùng 1 mẫu QC và xác thực hiệu suất phân tích của S2 POLAR.
Bảng 1: Khả năng tái lặp mẫu QC với 35 ppm S

Hình 5 mô tả độ lặp lại của mẫu S 35 ppm trong 20 lần đo (đường xanh). Thanh màu đỏ ở dưới cho thấy sự khác biệt giữa các lần đo liên tiếp đều nhỏ hơn 1 ppm. Sự khác biệt tối đa cho phép là 4.3 ppm S, dễ dàng đạt được với S2 POLAR

Hình 5: Độ tái lặp 20 phép đo mẫu dầu khoáng, theo tiêu chuẩn ASTM D4294
5- Kết luận
Với chùm tia HighSense được tối ưu hóa, S2 POLAR cho giám sát nhanh chóng và đáng tin cậy hàm lượng Lưu huỳnh trong nhiên liệu ô tô, dầu diesel sinh học, … Thiết bị hoàn toàn tuân thủ ASTM D4294-16 cho tất cả dải nồng độ.
Vối TouchControl “một nút bấm” được hiệu chuẩn sẵn tại nhà máy và quy trình chuẩn bị mẫu đơn giản, các phép đo thường quy trở nên dễ dàng và thuận tiện. Cùng chức năng SampleCare ngăn mẫu rò rỉ dung dịch, bảo vệ bộ phận quang trọng hệ thống.
—-
Quý khách hàng cần hỗ trợ tư vấn sản phẩm Bruker, liên hệ VIỆT NGUYỄN.
VIỆT NGUYỄN là đại lý phân phối nhóm sản phẩm XRF di động của Bruker
| CÔNG TY TNHH THƯƠNG MẠI – DỊCH VỤ – KỸ THUẬT VIỆT NGUYỄN | |
| Địa chỉ | VPHCM: số N36, đường số 11, Phường Đông Hưng Thuận VPHN: Tòa Intracom, Số 33 Cầu Diễn, Phường Xuân Phương VPĐN: Số 10 Lỗ Giáng 5, phường Hòa Xuân |
| Liên hệ | 0826 664 422 (Mr. Thành) – E: thanh.hongco@vietnguyenco.vn 0813 870 870 (Ms. Uyên) – E: uyen.nguyen@vietnguyenco.vn |
| info@vietnguyenco.vn | |
| Website | https://www.vietcalib.vn| https://vietnguyenco.vn |





